少儿编程

系列

和 Vicky 一起学习 Scratch 系列之十九 | 从星菊石到银河系

前言

上一期,我们学习了抛物线的概念和基本原理,并创作了一个月球漫步的小作品。

今天,我们学习一个有趣的数学概念 —— 斐波那契数列,不要小看这个数列,这里面可藏着自然的奥秘!

斐波那契曲线

从星菊石说起

上个周末,娃爸带着 Vicky 参观了自然博物馆,里面有各种各样的标本,从陆地到海洋,从植物到动物,令人大开眼界。

在海洋生物馆里,我们发现了一个远古时期的生物标本 —— 星菊石:

星菊石标本 | Pixnet.net

星菊石是一种生活在距今约两亿年前侏罗纪时期的海洋生物,和恐龙是同时代的物种,非常的古老。

看看它这特别的曲线,我们不禁会有这样的疑问 —— 这种曲线是怎么形成的?

其实,不光是远古时期的星菊石,现代的海洋生物也有这样的曲线:

海螺壳 | Pinterest

而且,人们又发现,不只是动物,植物也有这样的曲线:

扣形苜蓿 | Photomacrography

再到后来,人们发现,自然界中,从生物到非生物,从微观到宏观,从地球到宇宙,到处都是这样的曲线:

2018年超级台风山竹 | Wikipedia

银河系旋臂 | Wikipedia

太神奇了!这里面究竟藏着怎样的奥妙玄机?

斐波那契数列

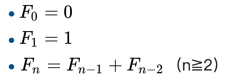
时光回转到八百年前,公元1202年,年轻的意大利数学家斐波那契在他的「计算之书」中提出一个大兔子生小兔子的问题,通过对这个问题的研究,他发现了一个新的数列,就是著名的 斐波那契数列 Fibonacci number。

这个数列的前几个数是这样的:

(0,) 1,1,2,3,5,8,13,...

Fibonacci number

聪明的你一定发现了这个数列的规律 —— 从第三个数字起,每个数字等于前面两个数字之和。

用数学公式来表达就是这样的:

斐波那契数列公式 | Wikipedia

通过对这个数列的研究,人们画出了一条曲线,这就是著名的 斐波那契螺旋线 Fibonacci spiral,也叫做黄金螺旋曲线:

斐波那契螺旋线 | Wikipedia

而我们在上面提到的一系列事物,它们的形状和这个曲线有着高度的契合:

贝类与斐波那契螺旋线 | Ayatemplates

星系与斐波那契螺旋线 | ScienceABC

台风与斐波那契螺旋线 | Flickr

大自然中风马牛不相及的事物之间居然有这样的内在联系,让人不得不惊叹造物的神奇~

所以,有人将斐波那契螺旋线叫做 “上帝的指纹 God‘s fingerprints”,真是毫不为过。

绘制斐波那契螺旋线

在了解了斐波那契数列和螺旋线之后,我们现在用 Scratch 绘制一条斐波那契螺旋线吧~

不难发现,斐波那契螺旋线是由一系列半径不同的四分之一圆弧拼接而成:

Goden Spiral | Intmath

而这些圆弧的半径就是斐波那契数列的值:

1,1,2,3,5,8,13,21, 34,...

圆弧的半径

我们使用往期课上学过的画笔模块先来画一个半径为 100 的四分之一圆弧。

如果以坐标系的原点为圆心,这个半圆的方程是:

半径为 100 的半圆方程

所以,我们让横坐标 x 从 0 变化到 100,求出每个点上纵坐标 y 的值,就可以画出四分之一个圆弧,脚本和效果是这样的:

四分之一圆弧的绘制

注意箭头所指就是方程本身。好,这样我们就画好了一个圆弧,其他圆弧的绘制也是同样的方式。

为了便于圆形的绘制,我们可以声明了一个自定义模块,传入不同的参数就可以画出一个四分之一圆。

最后,娃爸画了九段互相衔接的圆弧,拼接成了一条斐波那契螺旋线,并变换了曲线的颜色。

把它放在星空的背景下,这条的神奇的曲线一直延伸到了宇宙的深处...

最终的效果是这样的:

Scratch 绘制 Fibonacci Spiral

今天我们还知道了以下单词的含义:

  • fibonacci 斐波那契
  • spiral 螺旋
  • fingerprint 指纹